Tanquem la implementació del nou Odoo Raons: eficiència, transparència i sobirania tecnològica al servei de les persones

Estem orgulloses de comunicar que hem completat la migració a la versió 16 d’Odoo i la implementació de mòduls personalitzats que transformen la nostra operativa diària

Aquest pas representa un salt cap a la maduració tecnològica de Raons, integrant en una sola eina la gestió de projectes i la política de recursos humans.

L’execució del projecte ha permès validar avantatges tecnològics i socials de gran impacte per a la nostra assemblea:

  • Gestió automatitzada de la conciliació: El nou mòdul d’Absències operativitza els drets del nostre Reglament de Règim Intern. Ara cada treballadora disposa ara d’una bossa d’hores anuals per a cures i salut, i dies de lliure disposició, gestionables de forma autònoma i transparent des de la plataforma d’Odoo.
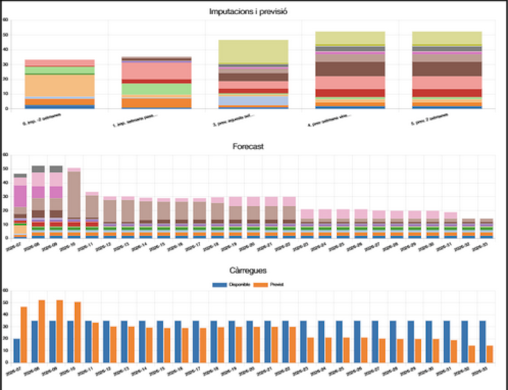
  • Previsió de feina (Forecast): Mitjançant la integració de taulers de control (dashboards) personalitzats, podem visualitzar en temps real la càrrega de feina futura, millorant la nostra planificació interna. Això ens permet detectar sobrecàrregues de forma precoç i assegurar un repartiment de tasques més equitatiu
  • Millora de la governança: L’eina fa que les dades de rendibilitat i dedicació siguin consultables per a totes, facilitant una presa de decisions més informada i democràtica en l’assemblea.

Fidels al nostre compromís amb la sobirania tecnològica, hem garantit el retorn social del projecte: els mòduls nous que permeten limitar la tipologia de tasques i millorar-ne la visualització ja estan publicats en el repositori de la comunitat (OCA) i de Coopdevs per a que qualsevol altra entitat de l’ESS pugui reaprofitar-los.

 

Amb el suport de l’Ajuntament de Barcelona.